[1991] C++ : 트리 순회
2022. 8. 18. 02:32

문제
이진 트리를 입력받아 전위 순회(preorder traversal), 중위 순회(inorder traversal), 후위 순회(postorder traversal)한 결과를 출력하는 프로그램을 작성하시오.

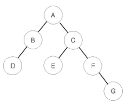
예를 들어 위와 같은 이진 트리가 입력되면,
- 전위 순회한 결과 : ABDCEFG // (루트) (왼쪽 자식) (오른쪽 자식)
- 중위 순회한 결과 : DBAECFG // (왼쪽 자식) (루트) (오른쪽 자식)
- 후위 순회한 결과 : DBEGFCA // (왼쪽 자식) (오른쪽 자식) (루트)
가 된다.
입력
첫째 줄에는 이진 트리의 노드의 개수 N(1 ≤ N ≤ 26)이 주어진다. 둘째 줄부터 N개의 줄에 걸쳐 각 노드와 그의 왼쪽 자식 노드, 오른쪽 자식 노드가 주어진다. 노드의 이름은 A부터 차례대로 알파벳 대문자로 매겨지며, 항상 A가 루트 노드가 된다. 자식 노드가 없는 경우에는 .으로 표현한다.
출력
첫째 줄에 전위 순회, 둘째 줄에 중위 순회, 셋째 줄에 후위 순회한 결과를 출력한다. 각 줄에 N개의 알파벳을 공백 없이 출력하면 된다.
예제 입력 1
7
A B C
B D .
C E F
E . .
F . G
D . .
G . .
예제 출력 1
ABDCEFG
DBAECFG
DBEGFCA
풀이
트리 순회는 한번 이해만 하면 굉장히 쉽게 풀 수 있는 문제 중 하나이다. 무엇보다 코드의 길이가 짧아 기억하기 편한것도 한 몫을 한다.
이 문제에서 포인트는 입력되는 데이터를 어떻게 트리로 만들까에 대한 것이었다. 하지만, 이 문제의 조건이 굉장히 제한적이라서 굉장히 쉽게 풀 수 있었다.
"노드의 이름은 A부터 차례대로 알파벳 대문자로 매겨지며, 항상 A가 루트 노드가 된다."
결국 처음 입력된 숫자만큼 노드를 만들고 알파벳 순서대로 담아두고 입력받을 때 노드끼리 연결만 해주면 되는 문제였다.
#include<iostream>
using namespace std;
bool alphaempty[26] = { 0 };
typedef struct tree {
char data;
struct tree* leftchild;
struct tree* rightchild;
}Tree;
void inorder(Tree* ptr)
{
if (ptr)
{
inorder(ptr->leftchild);
cout << ptr->data;
inorder(ptr->rightchild);
}
}
void preorder(Tree* ptr)
{
if (ptr)
{
cout << ptr->data;
preorder(ptr->leftchild);
preorder(ptr->rightchild);
}
}
void postorder(Tree* ptr)
{
if (ptr)
{
postorder(ptr->leftchild);
postorder(ptr->rightchild);
cout << ptr->data;
}
}
int main(void)
{
int repeat;
cin >> repeat;
Tree* r;
Tree** node = (Tree**)malloc(sizeof(Tree*) * repeat);
for (int i = 0; i < repeat; i++)
{
node[i] = (Tree*)malloc(sizeof(Tree));
node[i]->data = i + 'A';
node[i]->leftchild = NULL;
node[i]->rightchild = NULL;
}
r = node[0];
for (int i = 0; i < repeat; i++)
{
char data, left, right;
cin >> data >> left >> right;
if (left != '.')
node[data - 'A']->leftchild = node[left - 'A'];
if (right != '.')
node[data - 'A']->rightchild = node[right - 'A'];
}
preorder(r);
cout << "\n";
inorder(r);
cout << "\n";
postorder(r);
return 0;
}'Computer Science > Baekjoon' 카테고리의 다른 글
| [24479] C++ : 알고리즘 수업 - 깊이 우선 탐색 1 (0) | 2022.08.22 |
|---|---|
| [24416] C++ : 알고리즘 수업 - 피보나치 수 1 (0) | 2022.08.18 |
| [1927] C++ : 최소 힙 (0) | 2022.08.16 |
| [24444] C++ : 알고리즘 수업 - 너비 우선 탐색 1 (0) | 2022.08.15 |
| [11725] C++ : 트리의 부모 찾기 (0) | 2022.08.15 |



