[Algorithm] LCS (Longest Common Sequence)
DP의 대표 문제 중 하나인 LCS에 대해 다루어 보겠다.
Longest Common Substring
공통 부분 문자열을 찾으라고 했을 때 우리는 보통 longest common substring을 생각하곤 한다. 이는 오늘 알아볼 LCS와는 다른 개념이니 혼동해서는 안된다.
Longest Common Substring은 말 그대로 공통으로 가지고 있는 substring 중 가장 긴 것을 구한다.

이 문제는 DP로 해결할 수 있으며 굉장히 간단하게 구현이 가능하다.

두 문자가 같다면 [j-1][i-1]의 값에 +1을 하는 방식으로 위의 표를 채워나가면 된다.
Longest Common Subsequence
1. 기본 개념
그럼 Common Subsequence는 무엇일까? 부분 수열 중 가장 긴 것이라는 뜻은 서로 붙어있지 않고 나열된 순서가 같은 것 중 가장 긴 것을 고르라는 것이다.

위와 substring 과 같은 예제인데, 이번 정답은 BCD가 아닌 BCDF이다. subsequence와 substring의 차이를 명확히 알아두자!
2. 문제 풀이 접근 및 점화식 구하기
가장 쉽게 생각할 수 있는 것은 모든 경우에 대해 비교를 하는 것이다. 하지만, 당연히 그건 경우의 수가 너무 많아 시간복잡도가 너무 높아져서 사실 적용을 할 수 없다.
우리가 주목해야할 점은 수열의 연속 상태가 저장이 되어있다면, 그 부분에 추가하는 방식으로 문제를 해결 할 수 있다는 것이다. 즉, 하위 문제를 줄이기가 가능한 문제이기 때문에 DP를 적용가능하다.
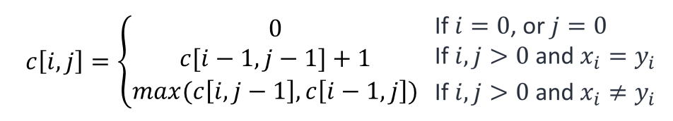
점화식은 다음과 같다. 이 점화식만 알면 적용하는 것은 시간문제이다.

3. 기본 예제 문제 풀이
x = ABCBDAB
y = BDCABA
인 경우를 해결해보자.
1. table 생성 및 i = 0 또는 j = 0인 부분을 0으로 채운다.
| c | y (j=0) | B | D | C | A | B | A |
| x (i=0) | 0 | 0 | 0 | 0 | 0 | 0 | 0 |
| A | 0 | ||||||
| B | 0 | ||||||
| C | 0 | ||||||
| B | 0 | ||||||
| D | 0 | ||||||
| A | 0 | ||||||
| B | 0 |
2. i = 1, j = 1부터 차례대로 table을 점화식에 맞게 채워나간다.
- x[i] == y[j] 이면 c[i][j] = c[i-1][j-1] + 1 이다. (왼쪽 대각선 위의 값 + 1)
- x[i] != y[j] 이면 c[i][j] = max ( c[i-1][j], c[i][j-1] ) 이다. (왼쪽과 위의 최댓값)
c[1][1]
=> x[1] != y[1] 이므로 c[0][1]과 c[1][0]의 최댓값을 취한다.
c[1][4]
=> x[1] == y[4] 이므로 c[0][3] + 1을 취한다.
| c | y (j=0) | B | D | C | A | B | A |
| x (i=0) | 0 | 0 | 0 | 0 | 0 | 0 | 0 |
| A | 0 | 0 | 0 | 0 | 1 | 1 | 1 |
| B | 0 | 1 | 1 | 1 | 1 | 2 | 2 |
| C | 0 | 1 | 1 | 2 | 2 | 2 | 2 |
| B | 0 | 1 | 1 | 1 | 1 | 3 | 3 |
| D | 0 | 1 | 2 | 2 | 2 | 3 | 3 |
| A | 0 | 1 | 2 | 2 | 3 | 3 | 4 |
| B | 0 | 1 | 2 | 2 | 3 | 4 | 4 |
3. Backtracking으로 해당 문자열 찾기
c[len(x)][len(y)]의 값이 LCS의 길이임을 알 수 있다. 하지만, 어떤 수열이 LCS인지 표만 보고 알 수 없다. 그래서 backtracking을 사용해 문자를 추적할 것이다.
추적하기 위해서는 값을 저장할 때 이 값이 온 방향을 저장해야한다. 방향을 표시하면 아래와 같다.

지금은 설명을 위해 화살표로 표현했는데, 실제 배열에는 그냥 0, 1, 2 등 숫자로 표현해도 된다.
우리가 LCS 값을 넣을 때 x[i] == y[j]일 때 왼쪽 위 대각 성분의 값에서 +1을 해주었다. 즉, 대각선으로 내려온 시점이 최장 부분 수열의 일부임을 판단할 수 있다. 그래서 우리가 따로 경로를 표시해두면 대각선으로 이동한 부분을 거슬러 올라가면서 기록하면 된다.

그래서 대각선으로 올라간 부분을 보면 BCBA라는 것을 알 수 있다.
4. 관련 백준 문제들 ( 풀이를 진행할 때 마다 업데이트 예정 )
2023.05.21 - [Computer Science/Baekjoon] - [9251] python : LCS
[9251] python : LCS
https://www.acmicpc.net/problem/9251 9251번: LCS LCS(Longest Common Subsequence, 최장 공통 부분 수열)문제는 두 수열이 주어졌을 때, 모두의 부분 수열이 되는 수열 중 가장 긴 것을 찾는 문제이다. 예를 들어, ACAYK
mobuk.tistory.com
2023.05.21 - [Computer Science/Baekjoon] - [9252] python : LCS 2
[9252] python : LCS 2
https://www.acmicpc.net/problem/9252 9252번: LCS 2 LCS(Longest Common Subsequence, 최장 공통 부분 수열)문제는 두 수열이 주어졌을 때, 모두의 부분 수열이 되는 수열 중 가장 긴 것을 찾는 문제이다. 예를 들어, ACA
mobuk.tistory.com
'Computer Science > Data structure & Algorithm' 카테고리의 다른 글
| [algorithm] Smith-waterman algorithm (0) | 2023.05.22 |
|---|---|
| [Algorithm] Needleman-Wunsch algorithm (0) | 2023.05.22 |
| [Algorithm] Optimal binary Search (최적 이진 탐색 트리) (1) | 2023.05.20 |
| [자료구조] C - 스택(Stack) - 배열을 이용한 구현 (0) | 2022.02.12 |
| [자료구조] C - 스택(Stack) (0) | 2022.02.12 |



