[2150] python : Strongly Connected Component
문제
방향 그래프가 주어졌을 때, 그 그래프를 SCC들로 나누는 프로그램을 작성하시오.
방향 그래프의 SCC는 우선 정점의 최대 부분집합이며, 그 부분집합에 들어있는 서로 다른 임의의 두 정점 u, v에 대해서 u에서 v로 가는 경로와 v에서 u로 가는 경로가 모두 존재하는 경우를 말한다.

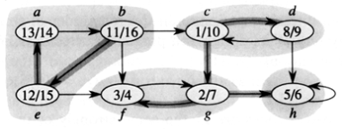
예를 들어 위와 같은 그림을 보자. 이 그래프에서 SCC들은 {a, b, e}, {c, d}, {f, g}, {h} 가 있다. 물론 h에서 h로 가는 간선이 없는 경우에도 {h}는 SCC를 이룬다.
입력
첫째 줄에 두 정수 V(1 ≤ V ≤ 10,000), E(1 ≤ E ≤ 100,000)가 주어진다. 이는 그래프가 V개의 정점과 E개의 간선으로 이루어져 있다는 의미이다. 다음 E개의 줄에는 간선에 대한 정보를 나타내는 두 정수 A, B가 주어진다. 이는 A번 정점과 B번 정점이 연결되어 있다는 의미이다. 이때 방향은 A → B가 된다.
정점은 1부터 V까지 번호가 매겨져 있다.
출력
첫째 줄에 SCC의 개수 K를 출력한다. 다음 K개의 줄에는 각 줄에 하나의 SCC에 속한 정점의 번호를 출력한다. 각 줄의 끝에는 -1을 출력하여 그 줄의 끝을 나타낸다. 각각의 SCC를 출력할 때 그 안에 속한 정점들은 오름차순으로 출력한다. 또한 여러 개의 SCC에 대해서는 그 안에 속해있는 가장 작은 정점의 정점 번호 순으로 출력한다.
예제 입력 1 복사
7 9
1 4
4 5
5 1
1 6
6 7
2 7
7 3
3 7
7 2
예제 출력 1 복사
3
1 4 5 -1
2 3 7 -1
6 -1
문제 풀이
정말 기본적인 강한연결요소에 관한 문제이다. Strongly Connected Components에 대해서는 아래 글을 참고하자.
[Algorithm] Strongly Connected Components (강한 연결 요소)
Connected Components 적어도 한 개 이상의 경로로 연결된 정점들로 구성된 종속 그래프이다. connected components는 단순히 연결되었는지 아닌지만 판단하면 되기 때문에 BFS나 DFS로 찾을 수 있다. ( Search가
mobuk.tistory.com
강한 연결 요소를 사용하여 풀이한 코드는 아래와 같다.
import sys
sys.setrecursionlimit(10**6)
input = sys.stdin.readline
VISIT = 0; NOTVISIT = -1
V, E = map(int, input().split())
G = [[] for _ in range(V+1)]
visited = [NOTVISIT for _ in range(V+1)]
stack = []
answer = []
cnt = 0
# graph input
for _ in range(E):
A, B = map(int, input().split())
G[A].append(B)
def dfs(n):
global cnt
cnt += 1
visited[n] = cnt
stack.append(n)
p = visited[n]
for x in G[n]:
if visited[x] == NOTVISIT:
p = min(p, dfs(x))
elif visited[x] != VISIT:
p = min(p, visited[x])
if p == visited[n]:
temp = []
while(1):
t = stack[-1]
temp.append(t)
stack.pop()
visited[t] = VISIT
if t == n:
break
temp.sort()
answer.append(temp)
return p
for i in range(1, V+1):
# 이미 방문했다면 넘어감
if visited[i] == NOTVISIT:
dfs(i)
print(len(answer))
answer.sort()
for k in answer:
for l in k:
print(l, end = ' ')
print(-1)'Computer Science > Baekjoon' 카테고리의 다른 글
| [10971] python : 외판원 순회 2 (2) | 2023.06.11 |
|---|---|
| [1753] python : 최단 경로 (0) | 2023.06.10 |
| [12865] python : 평범한 배낭 (0) | 2023.06.07 |
| [2612] python : DNA 유사도 (0) | 2023.05.22 |
| [9252] python : LCS 2 (0) | 2023.05.21 |




