[3DGS] Gaussian function - 1D gaussian
최근 화제가 되고 있는 Gaussian Splatting에 대해 공부하면서 Gaussian에 대한 수학적인 이해가 부족하다는 것을 느꼈다. 본격적으로 관련 분야를 공부하고 싶기 때문에 수식적으로 꼼꼼하게 공부하고 정리한 내용을 담고 있다. 직접적으로 GS과 관련이 없는 내용도 있으나 깊은 이해를 돕기 위해 여러 내용을 포함하고 있다.
Contents
1D gaussian
- gaussian function
- gaussian integral
N-Dim gaussian (2편에 계속)
- 2D gaussian
- 3D gaussian
1D gaussian
Gaussian Function
가우스 함수는 아래와 같은 형태의 식을 의미한다.

가우스함수는 종 모양의 좌우 대칭을 이루는 함수이다. 좌우극한으로 갈수록 0으로 수렴하는 특성이 있다.

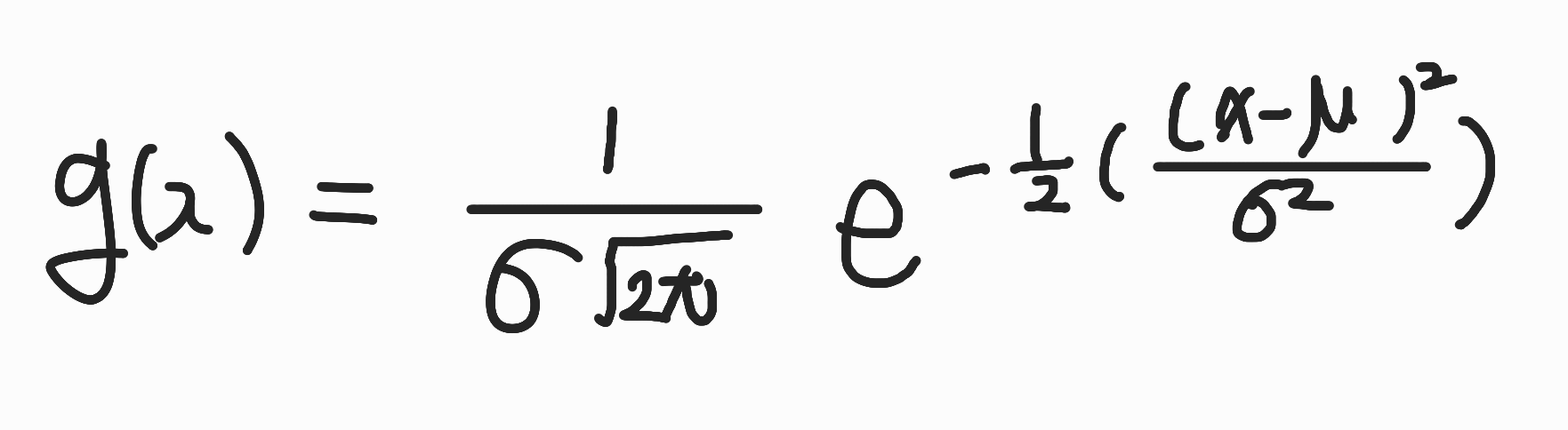
가우스 함수는 정규분포를 따르기 때문에 정규분포의 확률밀도 함수를 표현하기 위해 주로 사용한다. 그래서인지 나에게는 기본 형태보다 아래 형태가 더 익숙하게 느껴진다.

확률밀도함수를 표현할 때 σ, µ 에 따라 그래프의 형태가 변화한다.
분산 σ이 클수록 데이터가 더 넓게 분포해있음을 의미한다.

µ 는 가우스 함수의 축의 위치를 결정한다고 생각하면 쉽다.

그리고 맨 앞에 붙은 1/ σ root(2π) 는 함수 아래 면적을 1로 유지시켜준다.

여기서 나의 첫 번째 궁금증이 발생했다. 왜 아래 면적이 σ root(2π) 가 되는 것일까?
이 것을 유추하기 위해 기본형인 exp(-x^2) 의 적분부터 해보기로 했다. 이 과정을 Gaussian Integral (가우시안 적분) 이라고 한다.
Gaussian Integral

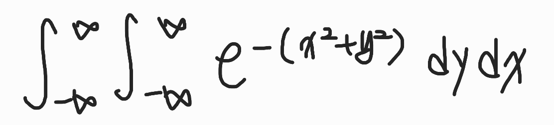
I는 기본 가우스 함수의 아래 면적과 같다. 하지만, 우리는 이 면적을 바로 구할 수 없다. 그래서 유사한 아래 형태의 식에서 위 식을 유도할 것이다.

우리는 지수법칙에 의해 지수를 e의 곱의 형태로 분리할 수 있다.

따라서 아래와 같이 식을 다시 고쳐쓸 수 있다.

위 식은 y에 대해 적분을 하고 x에 대해 적분을 진행한다. y에 대해 적분을 할 때는 x는 상수처리가 되고, x에 대해 적분을 할 때는 y가 상수처리가 된다.

따라서 아래와 같은 형식으로 정리가 된다. 그리고 이는 I^2과 같다.

위의 과정을 정리하자면, I^2 아래 식과 같다.

우리는 피타고라스의 정리를 이용해 다변수였던 2차원 가우시안을 손쉽게 극좌표계로 변환할 수 있다.


우리는 이쯤에서 위 식이 기하학적으로 어떤 모습을 하고 있는지 생각해볼 필요가 있다. 아래 그림은 위 식을 3차원 평면에 나타낸 모습이다.

사실 우리가 I^2으로 정리했던 식은 2차원 가우시안 형태이다.

기하학적으로 해당 부분의 부피를 구하려면 속이 빈 원기둥 (tube) 형태로 잘게 쪼개면 된다.


위 튜브의 개수가 많아질수록 실제 평면의 넓이와 유사해질 것이다. 그리고 튜브의 개수를 무한대로 보내면 곡선과 유사해질 것이다.

Tube의 부피를 구하는 식만 구한다면 2차원 가우시안 아래의 면적(부피)를 구하는 식을 유도할 수 있을 것이다.

부피를 구하기 위해 우리는 튜브를 직육면체 형태로 변환할 것이다. 튜브는 안쪽 반지름(r1)과 바깥쪽 반지름(r2)의 차이로 인해 직육면체로 펴는 것이 불가능하나 이 둘의 차이가 dr로 매우 작다면 곡률을 무시할 수 있다. 따라서 왼쪽 직육면체의 부피가 결국 튜브의 부피가 되는 것이다.

드디어 치환적분을 이용하여 간단하게 풀 수 있는 형태로 변환 되었다.

I^2이 π가 되고 I가 root(π)가 됨을 증명할 수 있다.

위 결과에 대한 의문이 풀리니 손쉽게 확률밀도함수를 나타내는 식의 면적이 σ root(2π) 임이 되는 것을 알 수 있었다.

a = 1이고 c가 분산일 때의 식이 확률밀도함수의 식이기 때문에 적분결과가 σ root(2π)이 됨을 알 수 있다.
2차원 이상의 가우시안에 대해서는 2편에 이어서 정리하겠다.
Reference
https://en.wikipedia.org/wiki/Gaussian_function
Gaussian function - Wikipedia
From Wikipedia, the free encyclopedia Mathematical function In mathematics, a Gaussian function, often simply referred to as a Gaussian, is a function of the base form f ( x ) = exp ( − x 2 ) {\displaystyle f(x)=\exp(-x^{2})} and with parametric exte
en.wikipedia.org
https://www.youtube.com/watch?v=l27xKSNad2Y
'Computer Science > AI' 카테고리의 다른 글
| [3DGS] 3D Gaussian Splatting for Real-Time Radiance Field Rendering : Paper Review (0) | 2025.02.11 |
|---|---|
| [3DGS] gaussian function - N-dim gaussian (0) | 2025.02.07 |
| [AI] 컴퓨터 비전 - 지역 특징 (모라벡, 해리스, SIFT) (1) | 2024.04.21 |
| [AI] 컴퓨터 비전 - 영역 분할 (고전적인 기법을 중심으로) (0) | 2024.04.21 |
| [AI] 컴퓨터비전 - 기초 영상 처리 기법 (1) | 2024.04.20 |



